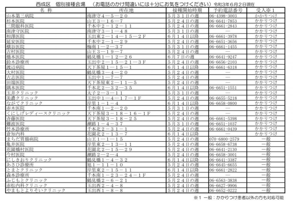
『山口ごろう通信 特別編4』を作成いたしました。区内の個別接種会場が6月2日に更新され、 35に。また、64歳以下の接種券等発送予定日も記載しております。暑い日が続きますが、熱中症には十分お気をつけください。
↓ ↓ ↓ ↓ ↓